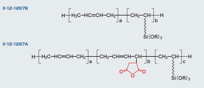
X-12-1267B/X-12-1267B-ES/X-12-1287A
X-12-1267B has a polybutadiene back-bone and an alkoxysilyl group. Due to the polybutadiene polymer chain, the silane has high compatibility with aliphatic hydrocarbon polymers. X-12-1287A has a polybutadiene backbone with a reactive trimethoxy group and acid anhydride linked to organic materials which have NH or OH groups.

Parameter Product name |
X-12-1267B | X-12-1267B-ES | X-12-1287A |
|---|---|---|---|
R = |
Me | Et | Me |
Appearance |
Slightly cloudy yellow liquid | Slightly cloudy yellow liquid | Cloudy brown liquid |
Viscosity at 25℃ mPa·s |
1,600 | 1,100 | 6,400 |
Nonvolatile content 105°C × 3 h % |
> 98.0 | > 98.0 | > 98.0 |
Avarage molecular mass* |
6,000 | 6,200 | 6,500 |
Acid anhydride equivalent g/mol |
- | - | 1,500 |
*Calculated by styrene conversion
Parameter Product name |
Blank*1 | X-12-1267B Addition of 0.5 wt% |
||
|---|---|---|---|---|
Substrate |
Initial | After water immersion*2 | Initial | After water immersion*2 |
Butyl rubber |
‒ | + | + | + |
Polystyrene |
‒ | ‒ | + | + |
-: Interfacial delamination +: Cohesive failure
*1 KBM-603
*2 Water immersion: 50°C × 7 days