- HOME
- Search by Product Category
- Silane Coupling Agents
Silane Coupling Agents
Silane coupling agents have a reactive functional groups which react with both organic and inorganic materials, and can be used to improve adhesion between organic and inorganic materials.
Basic Structure
Silane coupling agents have a reactive functional groups which react with both organic and inorganic materials, and can be used to improve adhesion between organic and inorganic materials.

Reaction Mechanism
The alkoxy group of the silane coupling agent is hydrolyzed to the hydroxyl group. The hydroxyl group of the silane coupling agent forms a hydrogen bond with the hydroxyl group on the surface of the inorganic material. By heating and dehydrating the material, it can be chemically bonded to organic resins and inorganic materials.

The organic functional groups of the silane coupling agent react with the functional groups of the organic resin as shown in the table below.
Reaction Examples of Organic Functional Groups

Hydrolyticity
In general, the methoxy group (-OCH₃) is more reactive (hydrolyzable) than the ethoxy group (-OC₂H₅).
Under acidic conditions, less alkoxy groups are more reactive, so the hydrolysis rate is Dimethoxy>Trimethoxy>Diethoxy>Triethoxy.
On the other hand, under alkaline conditions, the hydrolysis rate is Trimethoxy>Dimethoxy>Triethoxy>Diethoxy.

Reactivity with Inorganic Materials
Hydrolysis of alkoxy groups results in the formation of silanol, which is hydrogen bonded to the surface hydroxyl groups of inorganic materials. In general, the more active hydroxyl groups on the surface of an inorganic material, the easier it is to react.

X-12-1287A
X-12-1287A
- Silane coupling agent with butadiene backbone, acid anhydride structure, and trimethoxysilyl groups
- Butadiene backbone improves compatibility with rubber materials, and can also impart hydrophobicity.
- With trimethoxysilyl groups and acid anhydride functional groups, it can be expected to have a high adhesive effect.
X-12-1307
X-12-1307
- Silane coupling agent with mercapto group
- Shorter spacer chain compared to general-purpose products,
Higher hydrolysis - Adhesion improvement can be expected.
KBM-585
KBM-585
- Silane coupling agent with ureido groups
- Excellent effect on amide resins, etc. can be expected.
KBE-585A
KBE-585A
- Silane coupling agent with ureido groups, alcohol (methanol, ethanol) solution of about 50% active ingredient
- Excellent effect on amide resin, etc. can be expected.
X-12-1048
X-12-1048
- Silane coupling agent with acrylic groups and intramolecular polar structure
- Improved coupling performance due to polar structure
- Low volatility reduces the amount of silane blending.
- Since this product has film-forming properties, it can be used as a high functional primer.
- Since this product contains trialkoxysilyl groups, adhesion improvement can be expected.
POLON-V8
POLON-V8
- Due to the quaternary ammonium salt structure, antimicrobial and antiviral properties can be expected.
- Much higher stability in aqueous solution due to the characteristics of the molecular structure
- Uses ethanol solvent with lower environmental impact
- Adhesion improvement to fibers can be expected.
- Improved washing durability can be expected.
X-12-1333A
X-12-1333A
- Silane coupling agent with cyclization polymerization properties
- Superior thermal degradability and adhesiveness compared to KBM-503 and KBM-5103
- Silane coupling agent with acrylic groups as organic functional groups
- This product is used for processing silica.
KBM-1403
KBM-1403
- Silane coupling agent with styryl groups
- Since it contains styrene groups, anionic, cationic, and radical polymerization are possible
- By adding it to polymerizable resin compositions, it is expected to improve the adhesion between inorganic materials such as fillers and resin.
X-12-1056ES
X-12-1056ES
- Silane coupling agent with silyl group-protected mercapto groups
This product can be mixed with materials that cannot be mixed with mercaptosilane. - Stability improvement of compositions (epoxy, acrylic, isocyanate) and adhesion improvement can be expected.
- Odor improvement peculiar to mercapto groups can be expected.
X-12-1290
X-12-1290
- Silane coupling agent with allyl isocyanurate structure
- Radical cross-linking is possible due to the presence of allyl groups
- By adding to polymerizable resin compositions, it is expected to improve the adhesion between inorganic materials such as fillers and resin.
X-12-1214A
X-12-1214A
- Silane coupling agent with benzotriazole groups
- This product has anti rust properties.
Combined with the adhesion of silane coupling agents, long lasting anti rust properties can be expected.
KBE-502
KBE-502
- Silane coupling agent with methacrylate group, which is compatible with polyethylene and polypropylene
- This product is used for treatment of silica
- This product is used for resin concrete, polyester FRP, and dental materials
X-12-989MS
X-12-989MS
- Chelating-type silane coupling agent with heterocyclic ring
- Through non-bonding interactions with active hydrogen and metal ions, adhesion improvement to inorganic materials (i.e. metals) can be expected.
- Since this product does not have reactive groups, it does not have adverse effects on the composition.
X-88-475
X-88-475
- Silane coupling agent with amino acid ester structure
- By surface treatment of glass fiber, adhesion to epoxy resins etc. will be improved.
- This product is used as a terminal modifier for urethane resins to improve adhesion and water resistance.
- Aqueous solution shows neutrality and high stability.
KBM-3086
KBM-3086
- Silane coupling agent with more hydrolyzable silyl groups than general-purpose silanes
- Imparting hydrophobicity can be expected.
Binder application is possible.
X-12-1126
X-12-1126
- Aqueous silane coupling agent with quaternary ammonium salts
- Saves on hydrolysis process as it has already been hydrolyzed
- Nonflammable, reduced VOC generation
- Sustainable antimicrobial properties can be expected by fixing on the surface of fibers and inorganic materials.
KBE-1003
KBE-1003
- Vinyl group silane coupling agent compatible with polyethylene, polypropylene, etc.
- Mainly used to improve heat resistance of polyethylene for electric wires
- This product is used for cross-linked polyethylene
KBM-1003
KBM-1003
- Vinyl group silane coupling agent compatible with polyethylene, polypropylene, etc.
- Mainly used to improve heat resistance of polyethylene for electric wires
- This product is used for cross-linked polyethylene
KBM-1083
KBM-1083
- Silane coupling agent with vinyl group and longer spacer chain than conventional product (KBM-1003)
- Owing to the long spacer chain, improvement of hydrophobicity and flexibility can be expected.
- Improvement of high filler filling, flexibility of cured material, alkali resistance, water resistance can be expected.
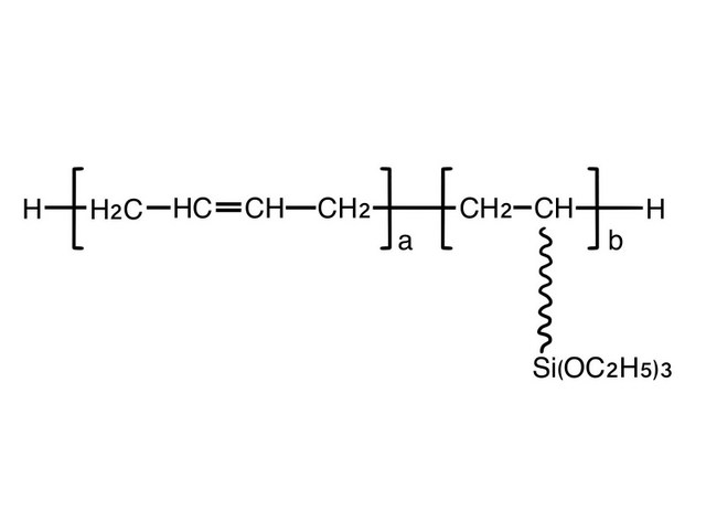
X-12-1267B
X-12-1267B
- Silane coupling agent with butadiene polymer structure as the main backbone
- Butadiene polymer backbone is expected to improve compatibility and adhesiveness to rubber materials
- With high hydrophobicity, improving water resistance can be expected.
X-12-1267B-ES
X-12-1267B-ES
- Silane coupling agent with butadiene polymer structure as the main skeleton
- Butadiene polymer skeleton is expected to improve compatibility and adhesiveness to rubber materials
- With high hydrophobicity, improving water resistance can be expected.
X-12-5263HP
X-12-5263HP
- Silane coupling agent with more hydrolyzable silyl groups than general-purpose silanes
- Imparting hydrophobicity and water resistance can be expected.
Resin modifier and binder application is possible.
KBM-9418-40
KBM-9418-40
- Silane coupling agent with quaternary ammonium salt as organic functional group
- Sustainable antimicrobial properties can be expected by fixing on the surface of fibers and inorganic material
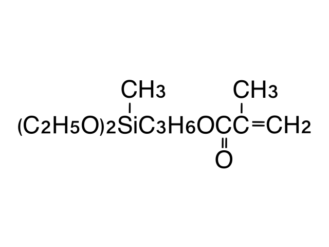
KBE-503
KBE-503
- Silane coupling agent with methacrylate group, which is compatible with polyethylene and polypropylene
- This product is used for treatment of silica
- This product is used for resin concrete, polyester FRP, and dental materials
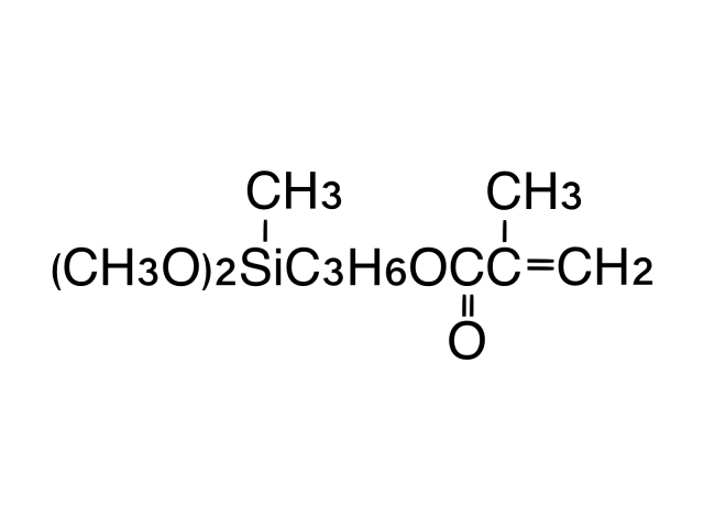
KBM-502
KBM-502
- Silane coupling agent with methacrylate groups
- This product is used for treatment of silica
- This product is used for resin concrete, polyester FRP, and dental materials.
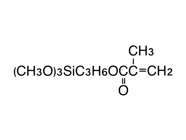
KBM-503
KBM-503
- Silane coupling agent with methacrylate groups
- This product is used for treatment of silica
- This product is used for resin concrete, polyester FRP, and dental materials.
KBM-5803
KBM-5803
- Silane coupling agent with methacrylate group and longer spacer chain than conventional product (KBM-503)
- Owing to the long spacer chain, improvement of hydrophobicity and flexibility can be expected.
- Improvement of adhesiveness, high filler filling, flexibility of cured material, alkali resistance, water resistance can be expected.
X-12-1154
X-12-1154
- Silane coupling agent with mercapto groups
This product has more functional groups than monomer type. - More reaction points with resin improve coupling performance.
- Low volatility reduces the amount of silane blending.
- Since this product has film-forming properties, it can be used as a high functional primer.
- Since this product contains trialkoxysilyl groups, adhesion improvement can be expected.
KBM-802
KBM-802
- Silane coupling agent with a mercapto group that is compatible with elastomers and rubber
- This product is used as an adhesion aid between epoxy resin and copper, silver, etc.
- This product is used for elastomers.
KBM-803
KBM-803
- Silane coupling agent with a mercapto group that is compatible with elastomers and rubber
- This product is used as an adhesion aid between epoxy resin and copper, silver, etc.
- This product is used for elastomers.
KBM-6103
KBM-6103
- Silane coupling agent with ethylenediamine structure
- Shorter spacer chains compared to general-purpose products
- Adhesion improvement can be expected
X-12-1303MS
X-12-1303MS
- Silane coupling agent with methacryloxy groups
- Shorter spacer chains compared to general-purpose products
- Adhesion improvement can be expected.
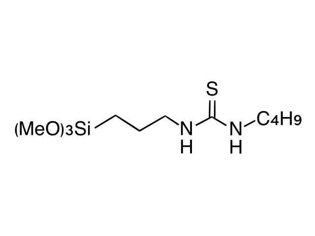
X-12-1139
X-12-1139
- Aqueous silane coupling agent with quaternary ammonium salts as organic functional groups
- Hydrolyzing process has already been finished.
It reduces manufacturing cost. - Nonflammable, reduced VOC generation
- Sustainable antimicrobial properties can be expected by fixing on the surface of fibers and inorganic materials.
KBE-9007N
KBE-9007N
- Silane coupling agents with isocyanate groups
- This product is added to resins (especially urethane resins containing isocyanate groups) as adhesion improvers.
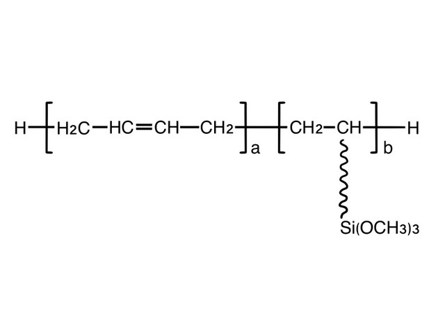
X-12-1050
X-12-1050
- Silane coupling agent with acryloxy groups
This product has a larger number of functional groups than the monomer type. - More reaction points with resin improve coupling performance.
- Low volatility reduces the amount of silane blending.
- Since this product has film-forming properties, it can be used as a high functional primer.
- Since this product contains trialkoxysilyl groups, adhesion improvement can be expected.
KBM-5103
KBM-5103
- Silane coupling agent with acrylic groups
- This product can be copolymerized with (meth)acrylic compounds.
- This product is used for treatment of silica.
KBP-64
KBP-64
- Aqueous silane coupling agent with ethylenediamine
- Since this product has already hydrolyzed, the hydrolysis process can be eliminated.
- Nonflammable, reduced VOC generation
KBP-90
KBP-90
- Aqueous silane coupling agent with primary amine as organic functional group
- Since this product has already hydrolyzed, the hydrolysis process can be eliminated.
- Nonflammable, reduced VOC generation
KBE-9103P
KBE-9103P
- Silane coupling agent with a ketimine structure
- This product can be mixed with materials that were previously unmixable with aminosilane.
- Aminosilane is formed through deprotection progresses with moisture and water.
- Improved stability of compositions (epoxy) and improved adhesion can be expected.
X-12-1172ES
X-12-1172ES
- Silane coupling agent with ketimine structure.
This product can be mixed with materials that were previously unmixable with aminosilane. - Improved stability of compositions (epoxy, acrylic, isocyanate) and adhesion can be expected.
KBE-903
KBE-903
- Silane coupling agent with primary amine
- Silane coupling agent with amino group that is compatible with a wide range of resins such as nylon and PVC
- This product is used for surface treatment of glass fiber. And it is used as an ingredient for adhesives and heat insulation mats.
X-12-972F
X-12-972F
- Silane coupling agent with primary amino groups
This product has a larger number of functional groups than the monomer type. - More reaction points with resin improve coupling performance.
- Low volatility reduces the amount of silane blending.
- Since this product has film-forming properties, it can be used as a high functional primer.
- Since this product contains trialkoxysilyl groups, adhesion improvement can be expected.
KBM-6803
KBM-6803
- Silane coupling agent with ethylenediamine structure and longer spacer chain than conventional product (KBM-603)
- Owing to the long spacer chain, improvement of hydrophobicity and flexibility can be expected.
- Improvement of adhesiveness, alkali resistance and water resistance can be expected.
KBM-573
KBM-573
- Silane coupling agent with aniline structure
- Since this product contains phenyl groups, compatibility with epoxy resins with phenol groups is improved.
- This product is used for laminated plate.
KBM-575
KBM-575
- Vinylbenzyl-type silane coupling agent
- Effective for surface treatment of glass fibers
- 40% methanol solution of active ingredient
KBM-602
KBM-602
- Silane coupling agent with ethylenediamine structure
- By silane treatment, glass fiber and resin can be chemically bonded.
Improving mechanical strength, heat resistance, water resistance and electrical properties can be expected. - This product is used for paints and adhesives.
KBM-603
KBM-603
- Silane coupling agent with ethylenediamine structure
- By silane treatment, glass fiber and resin can be chemically bonded.
Improving mechanical strength, heat resistance, water resistance and electrical properties can be expected. - This product is used for paints and adhesives.
KBM-903
KBM-903
- Silane coupling agent with primary amino groups
- By silane treatment, glass fiber and resin can be chemically bonded.
Improving mechanical strength, heat resistance, water resistance and electrical properties can be expected. - This product is used for adhesives and heat insulation mats.
KBM-9659
KBM-9659
- Silane coupling agent with isocyanurate groups
- This product has excellent compatibility with organic resins and low reactivity for good storage stability.
- Improved adhesion with inorganic materials
X-12-967C
X-12-967C
- Silane coupling agent with acid anhydride
- Improved stability of compositions and adhesion (polyimide etc.) can be expected.
X-12-1159L
X-12-1159L
- Silane coupling agent with isocyanate groups
This product has a larger number of functional groups than the monomer type. - More reaction points with resin improve coupling performance.
- Low volatility reduces the amount of silane blending.
- Since this product has film-forming properties, it can be used as a high functional primer.
- Since this product contains trialkoxysilyl groups, adhesion improvement can be expected.
X-12-1195
X-12-1195
- Isocyanate group-protected silane coupling agent
- This product will be deprotected by heat to form isocyanate groups.
Since isocyanate groups are protected, it can be mixed with compounds and resins that react with isocyanate groups. - Desorption temperature is 200℃ or higher, and ethanol is used as the blocking agent.
X-12-1293
X-12-1293
- Isocyanate group-protected silane coupling agent
- This product will be deprotected by heat to form isocyanate groups.
Since isocyanate groups are protected, it can be mixed with compounds and resins that react with isocyanate groups. - The desorption temperature is 160~180℃, and caprolactam is used as the blocking agent
X-12-1308ES
X-12-1308ES
- Isocyanate group-protected silane coupling agent
- This product will be deprotected by heat to form isocyanate groups.
Since isocyanate groups are protected, it can be mixed with compounds and resins that react with isocyanate groups. - Desorption temperature is 120~140℃, and dimethyl pyrazole is used as a blocking agent
KBE-402
KBE-402
- Silane coupling agent with epoxy groups
- This product makes chemically bond with glass fiber and resin.
It improves, strength, heat resistance, water resistance and electrical properties.
KBE-403
KBE-403
- Silane coupling agent with epoxy group
- This product makes chemically bond with glass fiber and resin.
It improves, strength, heat resistance, water resistance and electrical properties.
KBM-303
KBM-303
- Silane coupling agent with epoxy groups
- This product makes chemically bond with glass fiber and resin.
It improves strength, heat resistance, water resistance and electrical properties. - This product has been used in epoxy laminates and MC nylon.
KBM-402
KBM-402
- Silane coupling agent with epoxy groups
- This product makes chemically bond with glass fiber and resin.
It improves, strength, heat resistance, water resistance and electrical properties.
KBM-403
KBM-403
- Silane coupling agent with epoxy groups
- This product makes chemically bond with glass fiber and resin.
It improves, strength, heat resistance, water resistance and electrical properties.
X-12-981S
X-12-981S
- Silane coupling agent with epoxy groups
This product has a larger number of functional groups than the monomer type. - More reaction points with resin improve coupling performance.
- Low volatility reduces the amount of silane blending.
- Since this product has film-forming properties, it can be used as a high functional primer.
- Since this product contains trialkoxysilyl groups, adhesion improvement can be expected.
X-12-984S
X-12-984S
- Silane coupling agent with epoxy groups
This product has a larger number of functional groups than the monomer type. - More reaction points with resin improve coupling performance.
- Low volatility reduces the amount of silane blending.
- Since this product has film-forming properties, it can be used as a high functional primer.
- Since this product contains trialkoxysilyl groups, adhesion improvement can be expected.
KBM-4803
KBM-4803
- Silane coupling agent with epoxy group and longer spacer chain than conventional product (KBM-403)
- Owing to the long spacer chain, improvement of hydrophobicity and flexibility can be expected.
- Improvement of adhesiveness, high filler filling, flexibility of cured material, alkali resistance, water resistance can be expected.
X-12-1135
X-12-1135
- Aqueous silane coupling agent with carboxylic acid
- Since this product has already hydrolyzed, the hydrolysis process can be eliminated.
- Nonflammable, reduced VOC generation
X-12-1116
X-12-1116
- Chelate-functional silane coupling agent with thiourea bond
- Through non-bonding interactions with active hydrogen and metal ions, adhesion improvement to inorganic materials (i.e. metals) can be expected.
- Since this product does not have reactive groups, it does not have adverse effects on the composition.
Related FAQ
- How to store pretreated inorganic materials or silane-doped resins?
- How to increase the solubility of silane coupling agent in water and improve the storage stability of the solution?
- How to store silane coupling agents pretreated on inorganic materials or resins with silane added?
- How to store the solution after hydrolyzing the silane coupling agent?
- What precautions should be taken when storing silane coupling agents?